A A A A Автор Тема: Kepler - космический телескоп для поиска планет  (Прочитано 536476 раз)

0 Пользователей и 3 Гостей просматривают эту тему.

Оффлайн Erandir

  • *****
  • Сообщений: 788
  • Благодарностей: 31
  • Мне нравится этот форум!
    • Сообщения от Erandir
С этого и надо было начинать.  Как говорится все познается в сравнение
Честно говоря не планировал развёрнутый пост по теме, хотя пожалуй надо было бы.
А какие еще известны фазовые кривые для подобных скалистых планет?
Подобных других пока нет. Под "кучкой" я имел ввиду кандидаты, найденные в этой работе. Половина, если не больше, там скорее всего планетами не являются, но остаток может быть интересным. В частности, самим фактом столь тесных орбит. Как радикальный вариант авторы предполагают происхождение подобных тел из фрагментов ядер приливно разрушенных ГЮ, но это уже другая история - список для начала независимо проверить бы. Но в статье фазовые кривые получилось симметричные.

Оффлайн vsf

  • *****
  • Сообщений: 2 855
  • Благодарностей: 92
    • Сообщения от vsf
Но в статье фазовые кривые получилось симметричные.

Единственное отличие этих планет от Кеплер-10 гораздо меньший период обращения.

Так что все думаю просто - у Кеплер-10 еще нет глобального океана из расплавленных металлов или магмы, а у более близких планет он уже есть.

Оффлайн Erandir

  • *****
  • Сообщений: 788
  • Благодарностей: 31
  • Мне нравится этот форум!
    • Сообщения от Erandir
Так что все думаю просто - у Кеплер-10 еще нет глобального океана
Возможно и так. Но я бы не стал говорить "просто" о чём-то слабоизученном, варианты всё равно остаются - например, яркое пятно может оказаться океаном, а может и не оказаться. Почему же тут нужен большой ИК-телескоп, раз наличие океана можно проверять в этом диапазоне.

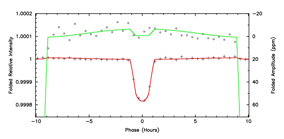
В ещё одно дополнение, эх таки надо было делать большой пост, пойманная асимметрия видна только на большой статистике. В статье об открытии планеты, когда объём фотометрии был немногим больше 300 сут, картинка получалась иной, практически симметричной со слегка заниженной на глаз (но на глаз с таким отображением статистики как раз нельзя :)) правой частью:


Оффлайн vsf

  • *****
  • Сообщений: 2 855
  • Благодарностей: 92
    • Сообщения от vsf
Возможно и так. Но я бы не стал говорить "просто" о чём-то слабоизученном, варианты всё равно остаются - например, яркое пятно может оказаться океаном, а может и не оказаться. Почему же тут нужен большой ИК-телескоп, раз наличие океана можно проверять в этом диапазоне.
Согласен. Тут работа для физиков. Что будет лучше блестеть в таких условиях - жидкая или твердая фаза. Но это явно не облака - данные за 3 года наблюдений усреднены. Деталь постоянна во времени.

картинка получалась иной, практически симметричной со слегка заниженной на глаз (но на глаз с таким отображением статистики как раз нельзя :)) правой частью:

Несимметричность тут уже отлично видна - у правой половинки все точки кроме двух лежат ниже модельной кривой зеленого цвета.

Оффлайн Erandir

  • *****
  • Сообщений: 788
  • Благодарностей: 31
  • Мне нравится этот форум!
    • Сообщения от Erandir
Но это явно не облака
Так с этим никто и не спорит.
Несимметричность тут уже отлично видна
Ну, без указания погрешности, оно "такое". Думаю, если бы это эффект был статистически значимым, об этом бы написали ещё тогда. Но главный финт в том, что тут правая сторона как бы ниже, а когда набрали статистики она как раз стала выше! Размещу обе картинки рядом:


И сюда же в качестве "теоретической части", есть вот такая статья, где насчитали фазовых кривых для транзитных и нетранзитных горячих (супер)земель на разных орбитах и с разным вращением вокруг своей оси. Как иллюстрация того, что придётся разгребать Веббу у EChO. Про высокий эксцентриситет и наклон оси вращения там тоже есть. А если на поверхности планеты есть контрастные детали большой площади, то установление природы наблюдаемых эффектов будет ещё более сложным и интересным. Только ждать долго, к сожалению.
« Последнее редактирование: 24 Сен 2013 [19:40:16] от Erandir »

Оффлайн Erandir

  • *****
  • Сообщений: 788
  • Благодарностей: 31
  • Мне нравится этот форум!
    • Сообщения от Erandir
Чего бы очень хотелось для Kepler-10b, ровно как и для других горячих (супер)земель – это возможности ловить экзосферный хвост. Что бы пробуя планету «на запах», получать дополнительные физические и химические характеристики поверхности (и атмосферы тоже). Так, при испарении силикатов при 2000K в основном будут лететь натрий, молекулярный и атомарный кислород. При наличии значительного количества карбидов должен наблюдаться недостаток кислорода по отношению к натрию. А плотность экзосферы дала бы интенсивность испарения, а через неё в т.ч. агрегатное состояние поверхности – можно было бы независимо проверить, как обстоят дела с лавовым океаном.

Оффлайн Dayan

  • *****
  • Сообщений: 5 324
  • Благодарностей: 353
    • Сообщения от Dayan
Чего бы очень хотелось для Kepler-10b, ровно как и для других горячих (супер)земель – это возможности ловить экзосферный хвост. Что бы пробуя планету «на запах», получать дополнительные физические и химические характеристики поверхности (и атмосферы тоже). Так, при испарении силикатов при 2000K в основном будут лететь натрий, молекулярный и атомарный кислород. При наличии значительного количества карбидов должен наблюдаться недостаток кислорода по отношению к натрию. А плотность экзосферы дала бы интенсивность испарения, а через неё в т.ч. агрегатное состояние поверхности – можно было бы независимо проверить, как обстоят дела с лавовым океаном.
А как это всё проверить? Через фотометрию на разных длинах волн, или получением спектра звезда+планета?

Оффлайн Erandir

  • *****
  • Сообщений: 788
  • Благодарностей: 31
  • Мне нравится этот форум!
    • Сообщения от Erandir
А как это всё проверить? Через фотометрию на разных длинах волн, или получением спектра звезда+планета?
Спектроскопия, очень суровая спектроскопия, причём не только во время транзита, т.к. экзосферные хвосты могут быть весьма протяжёнными. А суровая потому что требуется ловить очень слабые линии  - вот как пример статья про то, как ловили да не поймали такой хвост у CoRoT-7b при помощи UVES на VLT. Благо бОльшие наземные инструменты должны эффективно справляться с такой задачей. Их конечно тоже подождать придётся. Как и больших космических. Отдельно интересно, сможет ли тут что-то сделать Спектр-УФ, но это уже совсем другая история.

Оффлайн Dayan

  • *****
  • Сообщений: 5 324
  • Благодарностей: 353
    • Сообщения от Dayan
А как это всё проверить? Через фотометрию на разных длинах волн, или получением спектра звезда+планета?
Спектроскопия, очень суровая спектроскопия, причём не только во время транзита, т.к. экзосферные хвосты могут быть весьма протяжёнными. А суровая потому что требуется ловить очень слабые линии  - вот как пример статья про то, как ловили да не поймали такой хвост у CoRoT-7b при помощи UVES на VLT. Благо бОльшие наземные инструменты должны эффективно справляться с такой задачей. Их конечно тоже подождать придётся. Как и больших космических. Отдельно интересно, сможет ли тут что-то сделать Спектр-УФ, но это уже совсем другая история.
Понятно, т.е. спектроскопия "напросвет" - по линиям поглощения. Но эффективно ли определение состава по отражённому (переизлучённому, к примеру, если там лавовый океан) свету, то есть спектроскопия вблизи вторичного транзита (когда планета наблюдается вблизи полной фазы) и во время него, чтобы вычесть спектр самой звезды?

Оффлайн Erandir

  • *****
  • Сообщений: 788
  • Благодарностей: 31
  • Мне нравится этот форум!
    • Сообщения от Erandir
Такие исследования - штука трудоёмкая, особенно по сравнению с экзосферными хвостами напросвет. Насчёт эффективности, мне не встречались статьи с оценкой расшифровки минерального состава поверхностей экзопланет хотя бы приблизительного таким образом. В отличие от состава атмосферы. Т.е. определить общие свойства - да, но отдельные ловить вещества так не получится - значительно проще посмотреть, что вылетает в экзосферу, для тех планет, где хорошо вылетает ес-сно. Хотя конечно нужны исследования разных типов. При сравнимых затратах - это будет спектроскопия напросвет и спектрофотометрия отражёнки. Это ответ на Ваш вопрос или я Вас не правильно понял?
« Последнее редактирование: 25 Сен 2013 [02:29:26] от Erandir »

Оффлайн Dayan

  • *****
  • Сообщений: 5 324
  • Благодарностей: 353
    • Сообщения от Dayan
Вы бы не могли переформулировать вопрос относительно спектроскопии дневного полушария? Но что до эффективности, такие исследования - штука трудоёмкая, особенно по сравнению с экзосферными хвостами напросвет.
Дневное полушарие будет отражать и/или переизлучать свет. Значит отражённый спектр получить можно путём вычитания из суммарного спектра спектр звезды (например, во время вторичного транзита можно получить "чистый" звёздный спектр). То есть, возможно получение эмиссии от нагретой поверхности. Вопрос и состоял в сравнении такого метода с получением линий поглощения во время транзита.
Хотя, пожалуй соглашусь, что наверное такая спектроскопия не лучше спектроскопии напросвет в плане трудоёмкости получения. Однако, как мне кажется, эмиссионный спектр не менее информативен в плане изучения состава и свойств поверхности, поскольку в него будет вноситься вклад не только слоями атмосферы, но и самой видимой поверхностью (это может быть и облачность). Получаемый свет непосредственно от дневного полушария планеты в таком случае будет нести информацию (если квантов будет достаточно).

Update:
Такие исследования - штука трудоёмкая, особенно по сравнению с экзосферными хвостами напросвет. Насчёт эффективности, мне не встречались статьи с оценкой расшифровки минерального состава поверхностей экзопланет хотя бы приблизительного таким образом. В отличие от состава атмосферы. Т.е. определить общие свойства - да, но отдельные ловить вещества так не получится - значительно проще посмотреть, что вылетает в экзосферу, для тех планет, где хорошо вылетает ес-сно. Хотя конечно нужны исследования разных типов. При сравнимых затратах - это будет спектроскопия напросвет и спектрофотометрия отражёнки. Это ответ на Ваш вопрос или я Вас не правильно понял?
Да, можно сказать, Вы правильно поняли.
Вот предположим есть океан из расплавленного ярко светящегося вещества на горячей (супер)земле. Или же есть облачное отражающее покрытие, или даже просто релеевское рассеяние в глубокой безоблачной атмосфере. Неужели спектр отражённого света однозначно не даст представление о природе отражающего/светящегося вещества на планете?
« Последнее редактирование: 25 Сен 2013 [03:13:22] от Dayan »

Оффлайн Erandir

  • *****
  • Сообщений: 788
  • Благодарностей: 31
  • Мне нравится этот форум!
    • Сообщения от Erandir
Сразу сорри, если буду писать как Капитан Астрономия :)

Когда мы наблюдаем вторичный минимум минус спектр звезды – мы будем получать спектр дневного полушария планеты, когда транзит минус звезда – ночного. И то и другое в первую очередь относится к спектрам атмосферы. Эмиссионная спектроскопия сложнее трансмиссионной по причине большей слабости сигналов – много ли вообще сейчас известно транзитных планет со вторичными затмениями. В обоих случаях есть возможность получения линий отдельных веществ. Конечно, картину портит как релеевское рассеяние, так и дымки – они делают спектр плоским, лишённым деталей. И только под этим, в случае спектроскопии дневного полушария, лежат сигналы от поверхности, если таковая имеется.

Конечно, когда мы имеем дело с безатмосферными телами то ситуация упрощается, особенно если планеты горячие, с хорошими вторичными минимумами. Но в отличии от спектроскопии газовых смесей, от минералов, твёрдых да и  жидких, мы не добьёмся отдельных линий – такая среда будет давать «холмы и долины», что хорошо известно по телам Солнечной системы. Сравнивая полученные данные с модельным спектром, основанным на тех или иных минералах, можно  будет делать какие-то общие заключения о составе. Разумеется, это дело нужное, но по получаемым результатам оно сильно отличается от анализа химсостава атмосфер. Иллюстрация этого дела была уже выше – спектрофотометрическая гипотезы лавового океана на Веббе, при том, что телескоп будет способен ловить биомаркеры в атмосферах – разница в возможностях на лицо.

Но в случае горячих планет есть лазейка, через которую можно подобраться к химизму поверхности непосредственно – как раз через экзосферу. В газе/плазме мы можем определять хорошие узкие линии и соответственно, считать химсостав. Конечно, по отношению к поверхности – это косвенный метод – летит не всё, в сильно разных концентрациях, да и ещё в разные стороны, когда образуется нейтральный и заряженный хвосты. Но это возможность ловить отдельные компоненты. Конечно дело модельзависимое, но так и расшифровка спектра поверхности  - тоже, только от моделей (сложных) минеральных смесей. И учитывая что ловить проще – думаю к химизму горячих суперземель будут подбираться «сверху».

Оффлайн Dayan

  • *****
  • Сообщений: 5 324
  • Благодарностей: 353
    • Сообщения от Dayan
Почему-то официальный сайт миссии Кеплер перестал работать, уже третий день. :-[ Или только у меня так?
После двухнедельного "лежания", сайт http://kepler.nasa.gov/Mission/discoveries/ наконец восстановили. :)

Оффлайн Erandir

  • *****
  • Сообщений: 788
  • Благодарностей: 31
  • Мне нравится этот форум!
    • Сообщения от Erandir
Ещё немного про лавовый океан и атмосферу/экзосферу. Товарищи, на которых я ссылался в контексте атмосфер горячих (супер)земель, использовали модели для испарения усреднённых земных силикатов и для коматиита. Последний – мантийная порода, самая тугоплавкая из магматических известных на Земле – температура плавления ~1600K! Если предполагать, что на Kepler-10b нет лавового океана, то состав поверхности должен быть весьма экзотическим. Народ, который как раз рассматривал вариант с океаном и заодно получил значительно более высокую оценку температуры дневной поверхности - 2500-3040K, предлагал  состав Al2O3 + CaO (с преобладанием первого) и с примесью частиц ThO2. Такая лава была бы чрезвычайно тугоплавкой и могла бы обеспечивать наблюдаемое альбедо. Было бы интересно, если бы такую смесь сунули в MAGMA и посчитали, какую атмосферу бы она формировала – состав должен отличаться от результатов испарения силикатных пород, особенно если учесть, что при названных температурах уже хорошо летит SiO, когда есть из чего, разумеется. Ещё интереснее было бы, если на основании этого дела смоделировали экзосферу и оценили возможности обнаружения её, а также непосредственно атмосферы, различными инструментами, как современными, так и запланированными на ближайшее будущее.

Оффлайн Dayan

  • *****
  • Сообщений: 5 324
  • Благодарностей: 353
    • Сообщения от Dayan
Какие должны быть концентрации таких веществ в атмосфере, и тем более экзосфере, чтобы их возможно было наблюдать в трансмиссии? По поводу эмиссионного спектра - существуют ли какие-то оценки их интенсивности, ведь не очевидно, что они будут слабее трансмиссионных? По поводу релеевского рассеяния - оно же вносит свой вклад в любом случае - хоть в трансмиссии, хоть в эмиссии (всё одно).

Searcher16

  • Гость
Газовому гиганту PH-2 b (он же KOI-3663.01) присвоили официальное обозначение Kepler-86 b и пересмотрели параметры его родительской звезды. Она оказалась больше и ярче, чем считалось ранее - где-то G1V - соответственно планета нагрета до 303 К , что многовато для ОЗ. 

Оффлайн vika vorobyeva

  • ASTRONOMY.RU
  • *****
  • Сообщений: 9 422
  • Благодарностей: 864
    • Сообщения от vika vorobyeva
    • Записки Вики Воробьевой
Газовому гиганту PH-2 b (он же KOI-3663.01) присвоили официальное обозначение Kepler-86 b и пересмотрели параметры его родительской звезды. Она оказалась больше и ярче, чем считалось ранее - где-то G1V - соответственно планета нагрета до 303 К , что многовато для ОЗ. 

А ссылочку на источник можно?
Обновления на сайте миссии не увидела.
я не заметила момента
когда мой замок из песка
стал превращаться в криворожский
железорудный комбинат

Searcher16

  • Гость
А ссылочку на источник можно?
Обновления на сайте миссии не увидела.

Ссылка здесь. Пожалуйста, внесите  :)

Оффлайн Erandir

  • *****
  • Сообщений: 788
  • Благодарностей: 31
  • Мне нравится этот форум!
    • Сообщения от Erandir
Dayan, попробую по порядку ответить на Ваши вопросы.
Какие должны быть концентрации таких веществ в атмосфере, и тем более экзосфере, чтобы их возможно было наблюдать в трансмиссии?
К сожалению, тема спектроскопии горячих суперземель проработана (в известной мне литературе) значительно хуже чем, например, вопросы спектроскопии обитаемых земель, при том, что первые изучать намного проще. В этой связи приходится довольствоваться кусочками, а целая мозаика на коленке явно не считается. Если бы мог накидать – предыдущий мой пост был бы в утвердительной интонации, а не вопросительной. Поэтому про атмосферу – пока не скажу.
С экзосферой несколько проще – тут есть практическая работа, единственная в своём роде, про CoRoT-7b. Полученные пределы (величина в основном нескольких ppm на линию) позволяют говорить, что экзосфера этой планеты не превышает меркурианскую более чем в 2000 раз. Это не такая уж «страшная» цифра, учитывая, что планета больше и горячее – плотность щелочных/щелочноземельных металлов получается сравнимая или меньшая с меркурианской. Откуда выводы, что состав поверхности этой экзопланеты отличается от такового для Меркурия и что UVES может ловить очень слабые линии, что будет полезно в продолжении подобных исследований, когда необходимые планеты откроют в доступной для телескопа части неба. Учитывая, Kepler-10b меньше, но горячее, а материнская звезда ярче, думаю, если бы на VLT можно было бы работать по полю Кеплера, то можно было бы получить данные не хуже, чем для CoRoT-7b. Ощущается нехватка высокоточных УФ-спектрографов на больших инструментах в Северном полушарии…
По поводу эмиссионного спектра - существуют ли какие-то оценки их интенсивности, ведь не очевидно, что они будут слабее трансмиссионных?
Для спектров планет с толстыми атмосферами – то очевидно и однозначно. В степени, сравнимой с разницей между первичным и вторичным минимумами. Пример – те ГЮ, где проводились оба типа исследований в ближнем ИК – ΔF отличается на порядок! Конечно, если говорить о горячих планетах с тонкими атмосферами, то сам по себе сигнал от горячего полушария может быть более сильный, чем от газовой прослойки, накидывающей ничтожную, меньше 1ppm, прибавку к радиусу. Что касается эмиссионных линий в экзосфере – то тут возможны варианты. При наличии мощного плазменного тора (который на VLT тоже искали и тоже не нашли) они могут быть весьма интенсивными.
По поводу релеевского рассеяния - оно же вносит свой вклад в любом случае - хоть в трансмиссии, хоть в эмиссии (всё одно).
Разумеется, а что? :)

Оффлайн Dayan

  • *****
  • Сообщений: 5 324
  • Благодарностей: 353
    • Сообщения от Dayan
По поводу эмиссионного спектра - существуют ли какие-то оценки их интенсивности, ведь не очевидно, что они будут слабее трансмиссионных?
Для спектров планет с толстыми атмосферами – то очевидно и однозначно. В степени, сравнимой с разницей между первичным и вторичным минимумами.
Не понятно, почему это так. Объясните? :)
Допустим есть горячая планета с толстой атмосферой. В спектре дневного полушария помимо линий эмиссии (ведь в атмосфере будет и переизлучение поглощённого ею звёздного света) возникнут и линии поглощения (отражённый свет будет проходить через некоторый слой атмосферы). Значит они будут слабее, чем трансмиссионные линии при транзите планеты (ну не факт же, ведь свет будет идти с полного диска планеты, а не с тонкого ободка)? Но, таким образом, из отражённого спектра можно будет сделать вывод о хим составе, температуре и т.д. Насколько я понимаю, Вы считаете, что трансмиссионный спектр будет информативнее? Если да, то почему (если пренебречь трудностями с получением таких спектров)?

Конечно, если говорить о горячих планетах с тонкими атмосферами, то сам по себе сигнал от горячего полушария может быть более сильный, чем от газовой прослойки, накидывающей ничтожную, меньше 1ppm, прибавку к радиусу. Что касается эмиссионных линий в экзосфере – то тут возможны варианты. При наличии мощного плазменного тора (который на VLT тоже искали и тоже не нашли) они могут быть весьма интенсивными.
Да зачем же 1ppm. А если атмосфера не очень тонкая, а просто прозрачная в широком диапазоне для твёрдой планеты (например, как Земная или Марсианская). Отражённый спектр даст нам меньше информации об атмосфере и поверхности, чем спектр во время транзита?
« Последнее редактирование: 27 Сен 2013 [19:37:07] от Dayan »