A A A A Автор Тема: Необходимые условия для возникновения жизни (абиогенеза)  (Прочитано 249649 раз)

0 Пользователей и 1 Гость просматривают эту тему.

Оффлайн Серый Страж

  • *****
  • Сообщений: 614
  • Благодарностей: 69
  • Мне нравится этот форум!
    • Сообщения от Серый Страж
Без пыли нет жизни: доказано, что органика рождается прямо внутри космических частиц
https://www.ixbt.com/live/science/bez-pyli-net-zhizni-dokazano-chto-organika-rozhdaetsya-pryamo-vnutri-kosmicheskih-chastic.html

Цитата
Космос кажется пустым только на первый взгляд. На самом деле пространство между звездами заполнено газом и микроскопическими твердыми частицами — космической пылью. Долгое время астрономы считали эту пыль просто мусором, которая заслоняет свет далеких звезд. Чуть позже ее переосмыслили, и начали воспринимать как пассивную поверхность, на которую просто намерзает лед.

Новое исследование группы ученых под руководством Алексея Потапова (Йенский университет) и коллег из Великобритании и США предлагает переосмыслить ее роль еще раз. Их работа, опубликованная в The Astrophysical Journal, доказывает: космическая пыль — это активный химический реактор. Именно она позволяет создавать сложные органические молекулы, необходимые для возникновения жизни.

Почему старые модели ошибались?

В холодных уголках Вселенной, таких как межзвездные облака, температуры опускаются почти до абсолютного нуля. В таких условиях атомы и молекулы практически не двигаются. Традиционная наука предлагала модель «луковицы»: в центре находится твердое зерно пыли, а поверх него намерзают толстые слои льда (преимущественно воды, оксида углерода и аммиака).

Согласно этой теории, зерно пыли спрятано подо льдом, не контактирует с окружающей средой и не участвует в химических реакциях.

Однако последние данные наблюдений и лабораторных экспериментов показали, что пылинки устроены иначе. Это не гладкие шарики, а пористые агрегаты силикатов или углерода. У них огромная внутренняя площадь поверхности. И, что самое важное, они часто не покрыты сплошной коркой льда. Это открывает доступ к самой поверхности пылинки.

Как заставить молекулы встретиться?

Химия — это наука о встречах. Чтобы произошла реакция, реагенты должны столкнуться. В твердом теле при температуре минус 193 (80 Кельвинов) градуса Цельсия это кажется невозможным. Молекулы зафиксированы на своих местах.

Исследователи поставили перед собой задачу выяснить, могут ли молекулы перемещаться сквозь твердую пыль, и сталкиваться между собой.

Для этого они использовали установку «Jena Dust Machine», которая имитирует условия открытого космоса. Эксперимент был построен так:

  • Нижний слой: лед аммиака (NH3).
  • Средний слой: пористая силикатная пыль (аналог космической пыли, силикат магния).
  • Верхний слой: лед углекислого газа (CO2).

Реагенты были физически разделены слоем камня толщиной от 10 до 210 нанометров, что достаточно чтобы понять будет ли она препятствовать взаимодействию.


Слева — схемы трех вариантов эксперимента: (Верх) Обычная смесь льдов CO2 + NH3. (Середина) Слои льда CO2 и NH3 разделены, контакта нет. (Низ) Слои льда разделены прослойкой из пылевых зерен MgSiO3. Справа — графики ИК-спектра. Появление пиков на графике означает образование карбамата аммония. Видно, что реакция идет в простой смеси (верхний случай) и в «сэндвиче» с пылью (нижний случай). Красный крест в центре показывает, что без пыли молекулы не могут встретиться и реакция не идет.
Автор: Alexey Potapov et al 2025 ApJ 993 49 Источник: iopscience.iop.org

Что произошло внутри пыли?

Ученые нагрели образец до 80 Кельвинов. Это температура, характерная для протопланетных дисков — областей вокруг молодых звезд, где формируются планеты.

Результаты спектрального анализа показали появление нового вещества: карбамата аммония (NH4+NH2COO-).

Это означает две вещи:

  • Диффузия работает. Молекулы CO2 и NH3 не остались на местах. Они проникли в поры силикатной пыли, прошли сквозь нее и встретились.
  • Эффективность. Реакция прошла с высоким выходом продукта. Почти 50% молекул углекислого газа превратились в карбамат аммония.

Карбамат аммония — это ионное твердое тело, которое содержит сложный органический фрагмент. Оно считается предшественником мочевины — одной из базовых молекул пребиотической химии (химии, предшествующей жизни). Недавно это соединение обнаружили в реальном протопланетном диске с помощью телескопа Джеймса Уэбба.

Какова роль поверхности?

Еще одним важным выводом было то, что пыль не просто пропустила молекулы сквозь себя, а ускорила реакцию.

В газовой фазе или в чистом льду для такой реакции требуется преодолеть высокий энергетический барьер. Однако поверхность силикатной пыли обладает каталитическими свойствами. Она облегчает перенос протонов (ядер водорода) между молекулами.

Процесс выглядит так:

  • Молекулы диффундируют (перемещаются) по поверхности и внутри пор пылинки.
  • Пыль предоставляет площадку для встречи реагентов.
  • Поверхность снижает энергию, необходимую для начала реакции, действуя как катализатор.

Без пылевой прослойки, просто при смешивании льдов, образование карбамата аммония происходит иначе и требует избытка аммиака. Присутствие пористой пыли делает процесс возможным даже при равных пропорциях реагентов и направляет его по эффективному пути.


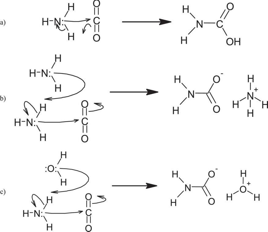
Схемы химических реакций, показывающие образование новых веществ. Изогнутые стрелки обозначают движение электронов при разрыве старых и создании новых связей.
(a) Образование карбаминовой кислоты. Азот из молекулы аммиака (NH3) присоединяется к центральному углероду в молекуле углекислого газа (CO2).
(b) и (c) Образование карбамат-аниона (целевого вещества). Здесь важную роль играет соседняя молекула-«помощник» (основание): В случае (b) это вторая молекула NH3. В случае (c) это молекула воды (H2O). Эти «помощники» забирают лишний протон (ядро водорода), что значительно облегчает реакцию. Именно по такому принципу работает катализ на поверхности космической пыли.
Автор: Alexey Potapov et al 2025 ApJ 993 49 Источник: iopscience.iop.org

Что это меняет в понимании Вселенной?

Это исследование закрывает пробел в наших знаниях о том, как Вселенная переходит от простых элементов к сложной органике.

Раньше считалось, что для сложной химии нужны экстремальные условия или длительное облучение льдов. Теперь мы знаем, что сама структура космической пыли способствует синтезу органики. Это происходит не только в далеких холодных облаках, но и в более теплых регионах, где рождаются планеты.

Мы получили доказательство того, что строительные блоки жизни формируются не вопреки условиям космоса, а благодаря им. Пыль обеспечивает транспорт молекул и ускоряет их взаимодействие. Это фундаментально меняет оценку вероятности возникновения жизни. Химические предпосылки для нее закладываются еще на этапе формирования звездных систем, и этот процесс гораздо эффективнее, чем предполагали старые модели.
Всегда на границе Света и Тьмы...

Оффлайн Бобр-99

  • *****
  • Сообщений: 5 156
  • Благодарностей: 100
    • Сообщения от Бобр-99
Органика образуется повсеместно. Достаточно посмотреть на цвета внешних планет.
2x54, 16x50
Доб 305 мм F/5
24/67, 14/72, 10/72, 6/100

Оффлайн Серый Страж

  • *****
  • Сообщений: 614
  • Благодарностей: 69
  • Мне нравится этот форум!
    • Сообщения от Серый Страж
Жизнь вышла из слизи: почему теория «первичного бульона» безнадежно устарела
https://www.ixbt.com/live/science/zhizn-vyshla-iz-slizi-pochemu-teoriya-pervichnogo-bulona-beznadezhno-ustarela.html

Цитата
Новое исследование, опубликованное в ChemSystemsChem (2025), предлагает кардинально иной взгляд. Жизнь зародилась не в воде и не в готовых клетках. Она началась в гелях.
...
Гель — это сеть сшитых полимеров или минеральных частиц, удерживающая воду в своей структуре. Исследователи Тони Ц. Цзя и Кухан Чандру утверждают, что именно гели решили фундаментальные физические проблемы, с которыми не справился бы водоем.
...
Гелевая матрица выполняет работу, которую позже возьмут на себя клеточные мембраны, но делает это без сложного биологического аппарата.

Вот факты, подтвержденные физической химией:

1. Пространственное ограничение и скученность — внутри геля движение молекул ограничено. Полимерная сетка создает эффект «скученности». Это меняет термодинамику. Поскольку доступного объема меньше, эффективная концентрация реагентов растет. Реакции, которые в воде шли бы тысячу лет, в геле могут произойти за часы.

2. Селективная фильтрация — гель работает как сито. Он может пропускать маленькие ионы, но удерживать крупные органические молекулы. Исследования показывают, что глинистые минералы (например, монтмориллонит) могут избирательно накапливать аминокислоты на своей поверхности благодаря электростатическому притяжению. Гель не просто держит вещества вместе — он отбирает нужные.

3. Защита от внешней агрессивной среды — ранняя Земля была таким себе филиалом ада. Ультрафиолетовое излучение выжигало все на поверхности, так как озонового слоя еще не существовало. Гель решает и эту проблему. Минеральные компоненты или органические полимеры в составе геля блокируют ультрафиолет, защищая хрупкие молекулы внутри. Кроме того, при высыхании на поверхности геля образуется плотная корка, которая сохраняет влагу внутри, предотвращая полное высыхание.
...
Самая смелая часть гипотезы касается энергии. Живая система должна быть неравновесной — она потребляет энергию, чтобы поддерживать порядок. Как это делает кусок геля?

Авторы описывают механизмы, превращающие гель в активную материю:

  • Хемомеханическое сопряжение: некоторые химические реакции (например, реакция Белоусова-Жаботинского) вызывают колебания. Гель может циклически набухать и сжиматься в зависимости от окислительно-восстановительного состояния. Это примитивный насос. Он втягивает питательные вещества и выталкивает отходы.
  • Использование света: если в гель включены металлические наночастицы (например, сульфиды железа или цинка, доступные на ранней Земле), они могут работать как плазмонные антенны, улавливая солнечную энергию и локально нагревая матрицу для ускорения реакций.

Это уже прото-метаболизм. Система, которая дышит и питается, не имея ни одной клетки.
...
Гипотеза «Gel-First» (сначала был гель) предполагает следующий путь:

  • Пребиотический гель: геохимическая структура накапливает молекулы и запускает примитивный обмен веществ.
  • Прото-пленка: внутри геля формируются отдельные компартменты (мембраны или капли фазового разделения).
  • Клетки: эти компартменты становятся достаточно автономными, чтобы покинуть гель и отправиться в свободное плавание.

В итоге получается, что свободно плавающая клетка — это не начало эволюции. Это специализированная ячейка, которая отделилась от безопасной гелевой базы, чтобы колонизировать новые территории.
...
Если эта гипотеза верна, мы неправильно ищем инопланетную жизнь.

Марсоходы и зонды ищут следы клеток или сложные окаменелости. Но если жизнь начинается с гелей, нам нужно искать «Ксено-пленки». Это могут быть макроскопические налеты на скалах, состоящие из экзотических полимеров, кремния или других элементов, специфичных для конкретной планеты.

Такие структуры не будут выглядеть как привычная нам жизнь. Они будут выглядеть как грязь, слизь или минеральные наросты. Но внутри этой грязи может идти активный химический цикл, который мы рискуем пропустить.

Источник: ChemSystemsChem
Всегда на границе Света и Тьмы...

Оффлайн Бобр-99

  • *****
  • Сообщений: 5 156
  • Благодарностей: 100
    • Сообщения от Бобр-99
Исследования показывают, что глинистые минералы (например, монтмориллонит)
А это гель?
2x54, 16x50
Доб 305 мм F/5
24/67, 14/72, 10/72, 6/100

Оффлайн Vavanzer

  • *****
  • Сообщений: 20 636
  • Благодарностей: 514
  • Все мы - микробы, в масштабах Вслеленной!!!
    • Сообщения от Vavanzer
https://science.mail.ru/news/40693-drevnie-dozhdi-mogli-prolivat-zhizn-novoe-issledovanie/?ysclid=miompe4g4w843670234
 Атмосфера Земли могла создавать серосодержащие молекулы и аминокислоты! :)
237мм 1:6,3  планетный ньютон (зеркало Vladstar 9,25")
250мм 1:4 шмидт-ньютон Meade
60мм ахромат 1:7 sv-bony

Оффлайн Ulkolainen

  • *****
  • Сообщений: 1 533
  • Благодарностей: 65
  • Верните минусы на форум!
    • Сообщения от Ulkolainen
И да пребудет с вами всё, что сможет прибыть!

Оффлайн Бобр-99

  • *****
  • Сообщений: 5 156
  • Благодарностей: 100
    • Сообщения от Бобр-99
2x54, 16x50
Доб 305 мм F/5
24/67, 14/72, 10/72, 6/100

Оффлайн Rattus

  • Модератор
  • *****
  • Сообщений: 16 379
  • Благодарностей: 622
  • Души прекрасные порывы! Убеждённый Ωптимистъ
    • Сообщения от Rattus
Гель решает и эту проблему. Минеральные компоненты или органические полимеры в составе геля блокируют ультрафиолет, защищая хрупкие молекулы внутри
От протекания целого ряда реакций предбиотического синтеза, запускаемых тем же ультрафиолетом. "Замечательная" модель, ага.
Тому, кто жаждет всех запретных тайн Астрофорума в одном месте поможет число 1919.

Ннапыльн%х тpапинкахъ далиокихъ плонеттъ астануцца нашшы погадкиъ! (ЙожЪ, SKL)
Скоро у людей закончится космос. (П.Лемтыбож - "Теоремы Пафнуция")
Я брала города, я стану - еда! (Серебряная Свадьба - "Пищевая цепочка")
Уранизация естественным образом снижает численность человечества (Вика Воробьёва, ВЖР, 30.10.2012)

Оффлайн Combinator

  • *****
  • Сообщений: 2 692
  • Благодарностей: 92
    • Сообщения от Combinator
На днях вышла очередная сенсационная статья https://www.pnas.org/doi/10.1073/pnas.2516418122 Её авторы утверждают, что им удалось напрямую воспроизвести в лаборатории все этапы синтеза олигемеров РНК от простейших органических молекул которые содержатся, например, в вулканических газах, вплодь до появления цепочек РНК длиной до шести нуклеотидов, причём, сами нуклеотиды, как и в РНК, использующихся живыми организмами, были чаще всего соединенены по схеме от 3 углерода рибозы, к 5-му углероду рибозы следующего нуклеотида. Правда, в цепочках в равных пропорциях встречались как левые, так и правые рибозы. Ключём к прорыву оказалось добавление к смеси солей бороной кислоты. Так же для того, что бы процесс завершился, необходимы периоды перехода к восстановительной атмосфере, что позволяло существовать в ней, например, аммиаку. Авторы предполагают, что это условие могло выполняться за счёт бомабардировки ранней Земли относительно небольшими астероидами диметром в несколько сотен километров. Не со всем в статье я могу согласиться, например, эволюция от первичной атмосферы до ЛУКА всего за 100 млн. лет представляется мне малореалистичной, но в конце концов, описанный авторами сценарий совсем не обязательно должен был проходить на Земле. К сожалению, статья платная, и простым смертным доступно лишь её краткое описание (Abstract). По этой причине, в описанном выше сценарии, восстановленном мною исключительно по абстракту к статье, возможны неточности.

Оффлайн Mercury127

  • Модератор
  • *****
  • Сообщений: 7 741
  • Благодарностей: 422
    • Сообщения от Mercury127
Ключём к прорыву оказалось добавление к смеси солей бороной кислоты.
неплохо... емнип, этот элемент — продукт первичного нуклеосинтеза (Li-Be-B), так что вполне мог присутствовать уже на начальных этапах жизни Вселенной...
ОАО Ордена Трудового Красного Знамени.
Бронежилет — лучше для мужчины нет!

Оффлайн EmperioAf

  • *****
  • Сообщений: 1 951
  • Благодарностей: 82
  • Mr. Лень
    • Сообщения от EmperioAf
солей бороной кислоты
Соли борной кислоты? А сколько их в вулканических газах?
Спасибо вам за просвещение.
"все вышеуказанные модели, начиная с квазистационарных систем, их аттракторов, траекторий, в фазовом пространстве всех комбинаторно возможных состояний, автокаталитических циклов с конформационной памятью метаболических путей, конкуренций и отбором метаболических циклов и т.д. пытаются.."(с)(Patsak)

Оффлайн Ulkolainen

  • *****
  • Сообщений: 1 533
  • Благодарностей: 65
  • Верните минусы на форум!
    • Сообщения от Ulkolainen
Так же для того, что бы процесс завершился, необходимы периоды перехода к восстановительной атмосфере, что позволяло существовать в ней, например, аммиаку.
Получается, что в остальное время они рассматривали первичную атмосферу как окислительную. Сернистую, что ли?
И да пребудет с вами всё, что сможет прибыть!

Оффлайн Rattus

  • Модератор
  • *****
  • Сообщений: 16 379
  • Благодарностей: 622
  • Души прекрасные порывы! Убеждённый Ωптимистъ
    • Сообщения от Rattus
Получается, что в остальное время они рассматривали первичную атмосферу как окислительную. Сернистую, что ли?
Полагаю как скорее нейтральную или слабовосстановительную.

авторы утверждают, что им удалось напрямую воспроизвести в лаборатории все этапы синтеза олигомеров РНК от простейших органических молекул, которые содержатся, например, в вулканических газах, вплоть до появления цепочек РНК длиной до шести нуклеотидов, причём, сами нуклеотиды, как и в РНК, использующихся живыми организмами, были чаще всего соединены по схеме от 3 углерода рибозы, к 5-му углероду рибозы следующего нуклеотида.
На мой взгляд мономерная и олигомерная химическая комбинаторика не столь велики, чтобы эту проблему нельзя было успешно разрешить на современном этапе развития наук, чему хорошим свидетельством стала ещё та известная работа. А эта - ещё один успешный шаг на этом участке проблемы. Но главным вопросом было и остаётся последующее происхождение и сохранение адаптивных полимерных последовательностей и биологического кода.
Тому, кто жаждет всех запретных тайн Астрофорума в одном месте поможет число 1919.

Ннапыльн%х тpапинкахъ далиокихъ плонеттъ астануцца нашшы погадкиъ! (ЙожЪ, SKL)
Скоро у людей закончится космос. (П.Лемтыбож - "Теоремы Пафнуция")
Я брала города, я стану - еда! (Серебряная Свадьба - "Пищевая цепочка")
Уранизация естественным образом снижает численность человечества (Вика Воробьёва, ВЖР, 30.10.2012)

Оффлайн Combinator

  • *****
  • Сообщений: 2 692
  • Благодарностей: 92
    • Сообщения от Combinator
Полагаю как скорее нейтральную или слабовосстановительную.

Да, вроде, от представлений прошлого века о сильно восстановительной атмосфере на ранней Земле уже достаточно давно отказались.

На мой взгляд мономерная и олигомерная химическая комбинаторика не столь велики, чтобы эту проблему нельзя было успешно разрешить на современном этапе развития наук, чему хорошим свидетельством стала ещё та известная работа. А эта - ещё один успешный шаг на этом участке проблемы. Но главным вопросом было и остаётся последующее происхождение и сохранение адаптивных полимерных последовательностей и биологического кода.

В указанной работе всё-таки в условно той же пробирке не был зафиксирован последний этап - полимеризация нуклеотидов преимущественно по схеме 3'-5'. Понятно, что причины последующей эволюции с отбором определённых последовательностей и появлением механизма репликации цепочек РНК по прежнему одна из нерешённых проблем.

Оффлайн EmperioAf

  • *****
  • Сообщений: 1 951
  • Благодарностей: 82
  • Mr. Лень
    • Сообщения от EmperioAf
солей бороной кислоты
Соли борной кислоты? А сколько их в вулканических газах?
Спасибо вам за просвещение.

@Combinator, извините вспылил, т.к. как раз в эти дни читал в книге 2016-го года м. Никитина "Происхождение жизни от туманности до клетки" буквально следующее:
"Ещё более эффективно и избирательно осаждают рибозу из реакции Бутлерова соли борной кислоты (бораты) (Ricardo et al., 2013)"
Т.е. в чём новость? (зачем в abstractе к статье пишут, что соли борных кислот облегчают производство рибозы, если это уже было экспериментально проверено)

Касательно моего вопроса, то беглый поиск по выдаче яндекс дал мне ссылку на книгу А.Ю.Бычкова "Геохимия. Часть 2", где написано следующее:
"Первичный бор берется из мантии. Там, где океаническая кора погружается под
континентальную  начинается  дегидратация  под  воздействием  высоких  температур.
Флюиды,  выделяющиеся  вверх,  генерируют  магму.  Бор,  заключенный  в  осадках
оказывается высвобожден и флюиды дают содержание бора в вулканитах от 60 ppm. По
мере удаление от желоба содержание бора достигает 3 ppm"

А найти таблицу с солями борной кислоты с процентовкой содержания в свежезастывающей земной коре мне найти не удалось.
"все вышеуказанные модели, начиная с квазистационарных систем, их аттракторов, траекторий, в фазовом пространстве всех комбинаторно возможных состояний, автокаталитических циклов с конформационной памятью метаболических путей, конкуренций и отбором метаболических циклов и т.д. пытаются.."(с)(Patsak)

Оффлайн Combinator

  • *****
  • Сообщений: 2 692
  • Благодарностей: 92
    • Сообщения от Combinator
Т.е. в чём новость? (зачем в abstractе к статье пишут, что соли борных кислот облегчают производство рибозы, если это уже было экспериментально проверено)

Новость в том, что борат помогает не только синтезировать рибозу, но и вообще провести один за другим сразу несколько этапов синтеза олигонуклеотидов РНК, стартуя с элементарных органических молекул включая простые углеводы. 

Оффлайн mbrane

  • *****
  • Сообщений: 16 136
  • Благодарностей: 354
  • Мне нравится этот форум!
    • Сообщения от mbrane
неплохо... емнип, этот элемент — продукт первичного нуклеосинтеза (Li-Be-B), так что вполне мог присутствовать уже на начальных этапах жизни Вселенной...
Ключём к прорыву оказалось добавление к смеси солей бороной кислоты.
неплохо... емнип, этот элемент — продукт первичного нуклеосинтеза (Li-Be-B), так что вполне мог присутствовать уже на начальных этапах жизни Вселенной...
чиво...
основной источник бора это не первичный нукоеосинтез - а значительно более поздний процесс разрушение тяжелых ядер - остатков сверхновых,  космическими лучами и рагьше, чем первые звезды появились его и не было практически

Оффлайн Mercury127

  • Модератор
  • *****
  • Сообщений: 7 741
  • Благодарностей: 422
    • Сообщения от Mercury127
Это плохо... Значит, слишком рано абиогенез с бором начаться не мог.
ОАО Ордена Трудового Красного Знамени.
Бронежилет — лучше для мужчины нет!

Оффлайн Dem

  • *****
  • Сообщений: 7 242
  • Благодарностей: 160
  • Звёзды зовут...
    • Сообщения от Dem
Это плохо... Значит, слишком рано абиогенез с бором начаться не мог.
"Слишком рано" и планеты только водородно-гелиевые были, какой там абиогенез... А как появились углерод с силикатами, уже наверно и бор был тоже...

Оффлайн Серый Страж

  • *****
  • Сообщений: 614
  • Благодарностей: 69
  • Мне нравится этот форум!
    • Сообщения от Серый Страж
К сообщению:

Без пыли нет жизни: доказано, что органика рождается прямо внутри космических частиц
https://www.ixbt.com/live/science/bez-pyli-net-zhizni-dokazano-chto-organika-rozhdaetsya-pryamo-vnutri-kosmicheskih-chastic.html

Жизнь начала зарождаться до рождения Земли: подтверждено спонтанное формирование ее основ в глубоком космосе
https://www.ixbt.com/live/science/zhizn-nachala-zarozhdatsya-do-rozhdeniya-zemli-podtverzhdeno-spontannoe-formirovanie-ee-osnov-v-glubokom-kosmose.html

Цитата
Существует термодинамическое противоречие, ставящее под сомнение классические модели возникновения жизни в водной среде. Жидкая вода, являясь универсальным растворителем для биологических процессов, на этапе предбиологической эволюции действует как деструктивный фактор: она способствует гидролизу — разрушению связей между аминокислотами, а не их формированию. Этот химический барьер делает спонтанную сборку пептидных цепочек в гипотетическом «первичном бульоне» ранней Земли энергетически невыгодным и маловероятным событием.

Однако новое исследование международной группы физиков предлагает альтернативный сценарий, переносящий процесс синтеза за пределы планетных атмосфер. Экспериментальные данные свидетельствуют, что сборка сложной органики эффективно протекает в условиях глубокого вакуума и экстремально низких температур, где отсутствие жидкого растворителя становится определяющим фактором успеха реакции.

Проблема водной среды

Сначала важно разобраться, что за химическое препятствие стоит перед зарождением жизни. Белки состоят из пептидов — цепочек аминокислот. Химическая связь между двумя аминокислотами (пептидная связь) образуется в реакции конденсации, побочным продуктом которой является молекула воды.

Это создает термодинамическое противоречие, известное как «водный парадокс». Если жизнь зарождалась в водной среде (в так называемом «первичном бульоне»), то согласно закону действующих масс, избыток воды должен сдвигать химическое равновесие в обратную сторону. В воде пептидные связи стремятся разрушаться (гидролиз), а не образовываться. В современных организмах эту проблему решают специализированные ферменты и потребление энергии АТФ, но в пребиотическом мире таких механизмов еще не существовало.

Авторы нового исследования предположили, что природа могла обойти это ограничение, перенеся процесс синтеза в среду, где жидкая вода отсутствует полностью — в глубокий вакуум межзвездного пространства.


Верхняя панель (Top panel): Схема звездной эволюции. Показаны этапы, на которых, согласно современным представлениям, формируются аминокислоты. Данное исследование фокусируется на двух финальных стадиях (коллапс облака и образование протозвезды), где вещество подвергается наиболее интенсивной энергетической обработке.
Нижняя панель (Bottom panel): Механизм реакции, открытый в данном исследовании. Под воздействием ионного облучения (имитация космической радиации) глицин превращается в глицилглицин — простейший дипептид, при этом выделяется вода. Процесс проиллюстрирован двумя способами: Слева: как это происходит физически на поверхности межзвездных ледяных пылинок. Справа: в виде химического уравнения. Зеленым цветом выделено образование пептидной связи — ключевого элемента для сборки белков в космических условиях.
Автор: Alfred Thomas Hopkinson et al. Источник: www.researchgate.net

Экспериментальное моделирование космоса

Для проверки гипотезы ученые использовали установку, способную воссоздать условия, царящие в плотных молекулярных облаках и протопланетных дисках. В качестве исходного материала был выбран глицин — простейшая и наиболее распространенная во Вселенной аминокислота.

Тончайший слой глицина был нанесен на подложку в вакуумной камере и охлажден до температуры 20 Кельвинов (минус 253 градуса Цельсия). При такой температуре тепловое движение молекул практически останавливается, и классические химические реакции становятся невозможными. Однако в космосе материя не находится в покое: она постоянно подвергается бомбардировке заряженными частицами.

Исследователи имитировали это воздействие, облучая замороженный глицин пучками протонов. В эксперименте использовались два энергетических режима:

  • Низкие энергии (10 кэВ): имитация воздействия солнечного ветра — потока частиц от молодой звезды.
  • Высокие энергии (1 МэВ): имитация галактических космических лучей, пронизывающих межзвездное пространство.

Доказательство через изотопный анализ

Главная сложность подобных экспериментов — доказать, что зафиксированные продукты реакции возникли именно в ходе синтеза, а не были занесены извне. Если в ходе облучения глицина образуется пептид, должна выделиться молекула воды. Но обнаружить следовые количества воды в вакуумной установке недостаточно — всегда есть риск, что это остаточная атмосферная влага.

Чтобы исключить ошибку, физики применили метод изотопного замещения. Они использовали синтезированный глицин, в котором обычные атомы легкого водорода были заменены на дейтерий (тяжелый водород). Использовались две вариации: частично дейтерированный (D3-глицин) и полностью дейтерированный (D5-глицин).

Логика эксперимента заключалась в том, что если под действием протонного пучка молекулы глицина соединяются друг с другом, то выделяющаяся «вода» должна состоять из атомов, входивших в состав исходного вещества. Следовательно, приборы должны зафиксировать появление тяжелой воды (D₂O). Именно это и показали результаты масс-спектрометрии и инфракрасной спектроскопии: по мере облучения в образце росла концентрация тяжелой воды и появлялись характерные спектральные линии, соответствующие пептидным связям.


a) Инфракрасные спектры (FTIR) трех изотопных версий глицина, нанесенных на подложку из ZnSe при температуре 20 K (до облучения): Обычный глицин (синий цвет). Полностью дейтерированный D5-glycine (красный цвет). Частично дейтерированный D3-glycine (зеленый цвет). b), c) и d) Изменения в спектрах этих веществ под воздействием бомбардировки протонами с энергией 10 keV. Визуальный ключ: Чем темнее линия на графике, тем большую дозу облучения получил образец (от начала эксперимента до финала при 6 x 10¹⁵ H⁺ cm⁻²).
Расшифровка панелей:
b) Показывает образование продуктов распада глицина: углекислого газа (CO₂), цианат-ионов (OCN⁻) и угарного газа (CO) во всех трех образцах.
c) Ключевое доказательство: График фиксирует появление тяжелой воды (D₂O) при облучении дейтерированного глицина (D5 и D3). Это подтверждает, что вода синтезируется непосредственно из вещества образца, а не является внешним загрязнением.
d) Показывает образование обычной воды (H₂O), которое наиболее заметно в эксперименте с частично дейтерированным D3-glycine.
Автор: Alfred Thomas Hopkinson et al. Источник: www.researchgate.net

Механизм твердофазного синтеза

Полученные данные позволили детально описать процесс, происходящий на поверхности космических пылинок.

Когда высокоэнергетический протон врезается в слой замерзшего глицина, он не просто нагревает вещество, а вызывает каскад ионизаций. Протон разрывает химические связи внутри молекулы, выбивая электроны и создавая свободные радикалы — крайне реакционноспособные фрагменты молекул с неспаренными электронами.

В газовой фазе или в жидкости такие радикалы быстро прореагировали бы с чем угодно и распались. Но в твердой ледяной матрице при температуре близкой к абсолютному нулю подвижность молекул ограничена. Радикалы оказываются заперты в определенных положениях. Это создает условия для специфической рекомбинации: углерод карбоксильной группы одной молекулы связывается с азотом аминогруппы соседней молекулы.

Результатом становится образование глицилглицина — простейшего дипептида. Исследование показало, что этот процесс эффективно идет и при низких энергиях (солнечный ветер), и при высоких (космические лучи), что делает его универсальным для различных областей космоса.

Неожиданная сложность: прекурсоры ДНК

Анализ продуктов реакции преподнес исследователям сюрприз. Помимо дипептидов, в образцах было обнаружено вещество N-формилглицинамид. Это молекула более сложной структуры, и ее наличие имеет критическое значение для теорий происхождения жизни.

Дело в том, что N-формилглицинамид является важным промежуточным звеном в биосинтезе пуринов — класса молекул, к которым относятся аденин и гуанин. Это буквы генетического кода, составляющие основу ДНК и РНК.

Таким образом, эксперимент показал, что космическая радиация способна запускать параллельный синтез компонентов сразу для двух главных подсистем жизни: структурной (белки) и информационной (генетический материал). Ранее считалось, что столь разные классы соединений требуют различных условий для формирования.


Данные масс-спектрометрии (ESI-MS), подтверждающие образование новых сложных молекул после облучения.
a), b), c) Общие спектры масс для трех видов исходного вещества: обычного (недейтерированного) глицина, D3-глицина и D5-глицина.
d), e), f) Детальный обзор тех же образцов в диапазоне масс m/z от 133 до 138. Именно в этом окне находятся следы искомых пептидов. Ключевые маркеры: Исходный материал: Остатки непрореагировавшего глицина видны как пики m/z = 76 (на графиках a и b) и m/z = 78 (на графике c). Доказательство синтеза: Образовавшийся дипептид (глицилглицин) четко фиксируется на пиках m/z = 133 (графики d и e) и m/z = 137 (график f).
Автор: Alfred Thomas Hopkinson et al. Источник: www.researchgate.net

Астрофизический контекст и выводы

Работа датских и венгерских физиков меняет представление о хронологии возникновения жизни. Традиционно считалось, что сложные молекулы начали формироваться только после того, как Земля остыла и на ней появились океаны. Теперь этот временной горизонт сдвигается на миллионы лет назад, в эпоху формирования Солнечной системы.

Согласно полученным данным, синтез пептидов происходит:

  • В плотных молекулярных облаках — гигантских скоплениях газа и пыли, из которых рождаются звезды.
  • В протопланетных дисках — вращающихся структурах вокруг молодых звезд, где формируются планеты.

В этих регионах космическая пыль покрыта слоями льда из воды, аммиака, метана и простейших аминокислот. Галактические лучи непрерывно обрабатывают эти льды, превращая их в химические реакторы. По мере того как из пыли и газа формируются кометы и астероиды, они уже содержат внутри себя запас сложных полимеров.

Это означает, что на раннюю Землю в период поздней тяжелой бомбардировки выпадали не просто вода и минералы. Кометы доставляли на планету уже готовый конструктор из дипептидов и прекурсоров нуклеотидов. Низкие температуры космоса играли роль консерванта, сохраняя эти молекулы от распада до момента попадания в благоприятную среду планетарного океана.

Данное открытие устраняет необходимость объяснять, как именно в первичном океане Земли преодолевался термодинамический барьер для синтеза первых пептидов. Вероятно, этот этап был пройден еще до того, как планета сформировалась, а земная жизнь воспользовалась результатами химической эволюции, произошедшей в холодном вакууме межзвездного пространства.

Источник: researchgate

P.S. На мой взгляд, эти две новости отчасти повышают актуальность гипотезы Армена Мулкиджаняна.

(кликните для показа/скрытия)

Всегда на границе Света и Тьмы...