A A A A Автор Тема: Ядерная энергетика будущего  (Прочитано 173507 раз)

0 Пользователей и 1 Гость просматривают эту тему.

Оффлайн AlexAV

  • Модератор
  • *****
  • Сообщений: 10 473
  • Благодарностей: 578
    • Сообщения от AlexAV
Re: Ядерная энергетика будущего
« Ответ #2440 : 28 Янв 2021 [02:58:30] »
И еще не понятно как отделение урана 235, ото всей топливной композиции позволяет нам повысить КВ? Даже если вы правы и нейтронов дает он меньше, то при отделении он их вообще не будет давать. В чем смысл разделения?

Отделение U-235 КВ не повышает, а вот отделение U-234 и U-236 - очень даже.

В спектре жидкосолевого реактора цикл U-234 - U-235 нейтроно-дефицитный, кроме того из-за большого сечения радиационного захвата в спектре  жидкосолевого реактора из U-235 образуется больше U-236, чем в спектре тяжеловодного. А U-236 - просто нейтронный яд (практически не делится и при захвате нейтрона даёт такой же бесполезный Np-237).

Оффлайн AlexAV

  • Модератор
  • *****
  • Сообщений: 10 473
  • Благодарностей: 578
    • Сообщения от AlexAV
Re: Ядерная энергетика будущего
« Ответ #2441 : 28 Янв 2021 [03:25:49] »
Отсутствие этапа фабрикации и рефабрикации.

Ну и толку с этого если не существует технологии выделения из фторидного расплава всех осколков? Причём как выделять оттуда какой-нибудь стронций и барий не понятно даже теоретически.

Для полного разделения всё равно надо все переводить в нитрат и разделять экстракцией. А получить нитраты из оксидной керамики проще, чем из фторидной соли. Залил азотной кислотой и готово. И чтобы из фторидов получить чистые растворы нитратов нужно будет ещё помучиться. При этом будет неизбежно возникать такая гадость, как плавиковая кислота. А с материалами одновременно устойчивыми и к плавиковой и и к азотной кислоте, особенно в широком диапазоне концентраций, есть большие сложности.

Фторидная форма по сравнению с оксидной при переработке классическим ТHOREX  - это минус, а не плюс.

Высокий КИУМ

У канальных реакторов, где возможна перегрузка топлива без остановки реактора (CANDU, РБМК), не хуже.
 
Высокий КПД

Согласен, вообще единственный плюс по сравнению с тяжеловодными канальниками.

Высокий КВ

КВ>1, судя по всему, только в неудобном в практическом плане чисто Th-232-U-233 цикле. Для более интересных циклов с равновесным изотопным составом урана скорее всего вообще работать не будут (в режиме самообеспечения делящимся материалом), а тяжеловодник может. Даже в цикле Th-232-U-233 (с полным удалением тяжелых изотопов урана и малых актиноидов) и удалением всех осколков на лету (что сейчас технически невозможно) он проигрывает по КВ тяжеловоднику со сверхплотной решеткой.

По нейтроно-физическим параметра реактор с тяжеловодным замедлителем для сжигания тория лучше жидкосолевого.

Оффлайн AlexAV

  • Модератор
  • *****
  • Сообщений: 10 473
  • Благодарностей: 578
    • Сообщения от AlexAV
Re: Ядерная энергетика будущего
« Ответ #2442 : 28 Янв 2021 [12:46:59] »
Высокий КВ

Старая, но довольно обстоятельная работа по жидкосолевикам с торием: https://energyfromthorium.com/pdf/FFR_chap12.pdf

Для гомогенного реактора с двумя зонами (активной и бланкетной) при более-менее реалистичном топливном цикле даёт КВ=0.73.

КВ = 1.07 - это только начальный КВ в чистой смеси Th-232 и U-233 без тяжелых изотопов урана, малых актиноидов и осколков деления, причём только в реакторе с графитовым замедлителем (без графитового замедлителя даже начальный КВ = 0.82). С равновесной смеси изотопов урана по сравнению с чистым U-233 он упадет где-то на 0.1 и не дотянет даже до единицы. Ну и графит непосредственно соприкасающийся с солевым расплавом у условиях высоких потоков ионизирующего излучения - так себе идея. Деградирует очень быстро. В таком варианте к прочим  "достоинствам" ЖСР добавляется ещё крайне малый срок службы.

КВ = 0.73 Вы действительно считаете высоким?

Оффлайн MenFrame

  • *****
  • Сообщений: 8 900
  • Благодарностей: 215
  • Мне нравится этот форум!
    • Сообщения от MenFrame
Re: Ядерная энергетика будущего
« Ответ #2443 : 28 Янв 2021 [13:03:56] »
без графитового замедлителя даже начальный КВ = 0.82
Без замедлителя это уже будет быстрый реактор. Росатом именно такой планирует.
 
КВ = 0.73 Вы действительно считаете высоким?
Вот здесь говорят что расчетный КВ выше единицы на всем времени работы реактора. При условии конечно выделения лантаноидов, и протактиния 233(решаем проблему урана 234)
Наука есть организованный скептицизм в достоверности экспертного мнения.  Ричард Фейнман
Свобода, есть форма ответственности за необходимую глупость. (не помню кто сказал)

Оффлайн AlexAV

  • Модератор
  • *****
  • Сообщений: 10 473
  • Благодарностей: 578
    • Сообщения от AlexAV
Re: Ядерная энергетика будущего
« Ответ #2444 : 28 Янв 2021 [15:00:15] »
Без замедлителя это уже будет быстрый реактор. Росатом именно такой планирует.

Резонансный. FLiBe сам по себе достаточно хороший замедлитель. Без графита там медианная энергия поглощаемого нейтрона получается около 200 эВ.

и протактиния 233(решаем проблему урана 234)

Проблему U-234 это полностью не решает. Даже если Pa-233 вообще нейтроны не захватывает при захвате нейтрона U-233 в тепловом спектре деление происходит с вероятностью 92%, а с вероятностью 8% он превращается в U-234. В резонансном спектре вероятность радиационного захвата выше и вероятность U-233 не поделиться нейтроном, а превратиться в U-234 составляет уже около 15%.

Вообще без учета захвата нейтронов Pa-233 в тепловом спектре равновесный изотопный состав урана в ториевом реакторе, который будет сохраняться постоянным и не будет дальше деградировать, описывается  приблизительно так: 37.6% U-233; 15.8% U-234; 2.3% U-235; 44.3% U-236. Обратите внимание, что в равновесной композиции мусорного U-236 больше U-233  :). И КВ реактора с чистым U-233 и с указанной композицией будет заметно отличаться. Причём практический интерес в большей мере представляет именно эта композиция, а не работа реактора с чистым U-233.

Вот здесь говорят что расчетный КВ выше единицы на всем времени работы реактора.

Не все время, а только десять лет, дальше они не моделировали. Они стартуют из чистого U-233, за время их моделирования изотопное равновесие установиться не успевает и как результат их цифра близка к КВ чисто Th-232-U-233 цикла. Эта цифра представляет ограниченный практический интерес. Вот если бы они взяли равновесную композицию изотопов - было бы интереснее. И тут сразу бы КВ получился бы радикально ниже.

Вообще тот топливный цикл, который они рассматривают к какой-либо практике не имеет вообще никакого отношения. Ну нет на Земле месторождений U-233. Первичную загрузку придётся делать U-235 и двигаться от него к равновесному циклы. При начальной загрузке U-235, из-за его относительно большого сечения радиационного захвата, сначала будет идти быстрое накопление U-236 до концентраций ещё больших, чем в выше указанном равновесном составе, а потом при переходе к равновесному циклу, оно несколько уменьшится (при условие, что КВ реактора будет ~1). И при таком реалистичном цикле получатся совсем другие КВ, чем в идеализированном, который там по сути рассматривают.

Вообще реактор рассмотренный в работе какой-то фэнтезийный. Такой реактор невозможно ни построить, ни эксплуатировать.

1) У них графитовая кладка по сути плавает в соли. Это уже пробовали на реакторе в ORNL. Результат графит начал разрушаться уже через 1.5 реактор-лет работы. Т.е. такое решения для реального энергетического реактора не годится. Можно убрать соль в металлические каналы и изолировать её от прямого соприкосновения с графитом. Но у никеля сечение захвата тепловых нейтронов велико и составляет 37.2 барн. Такое решение сразу же обвалит КВ. А материалов с малым поглощением нейтронов и устойчивых к солевому раствору в природе вообще не существует.

2) Удаление всех осколков на лету - хорошо декларировать, но трудно реализовать. Пока технически на лету можно убирать только летучие осколки (инертные газы, иод, халькогены). А вот хорошего способа убрать лантаноиды нет. Как убирать щелочные и щелочно-земельные металлы вообще никто не знает. Т.е. этот пункт в полной мере не реализуем технически и по хорошему в расчёте нужно учитывать сильно ненулнвую их концентрацию. Это было бы ближе к реальности.

3) Протактиний выделять можно (через летучий фторид). Но... это требует работы со свободным фтором, такое оборудование дорогое, имеет малый ресурс, да и вопросов с безопасностью тут будет возникать много.

Собственно по физике реактора к данной работе два главных вопроса. Техническая нереалистичность конструкции с графитом непосредственно погруженным в расплав (соответственно нужны каналы из никелевого сплава, а это дополнительные и очень большие потери нейтронов). Нереалистичный топливный цикл (что получится если модельную (но нереалистичную) загрузку из чистого U-233 заменить на уран равновесного изотопного состава или начальную загрузку U-235? Понятно, что станет сильно хуже, но на сколько?).

Со стороны технологии - техническая невозможность полного извлечения осколков из фторидных расплавов. Реактор, где предполагается их полное извлечение, обречен остаться бумажным реактором на вечно. А если взять ту схему, которая реальна сейчас - вывоз отработанной соли на радиохимический завод и переработка там, то нужно закладывать какие-то реалистичные стационарные концентрации осколков (хотя бы только нелетучих), по крайней мере 1% от массы тория. А это опять будет давать заметное дополнительное поглощение нейтронов и снижать КВ. Без учёта укзанного результаты расчёта нельзя считать убедительными. 

Тот реактор из старой работы, который с КВ=0.73 хотя бы при желании в металле построить можно. И он будет работать. А то что описано в этой работе в том варианте для которого производился расчёт даже по большей части построить невозможно, чисто модельная вещь слабо связанная с реальной техникой.
« Последнее редактирование: 28 Янв 2021 [15:17:40] от AlexAV »

Оффлайн Алексей В.

  • ****
  • Сообщений: 278
  • Благодарностей: 13
  • Мне нравится этот форум!
    • Сообщения от Алексей В.
Re: Ядерная энергетика будущего
« Ответ #2445 : 29 Янв 2021 [14:14:39] »
О чём тут спорить не понимаю. В литературе есть данные о спектре нейтронов выходящих с поверхности устройства при термоядерном взрыве. Просто возьмите и посмотрите. Вот пара табличек из В.М. Лоборев и др. "Физика ядерного взрыва".

Видно, что около половины испускаемых термоядерным устройством нейтронов являются быстрыми (т.е. с энергией более 100 кэВ). Причём спектр этих быстрых нейтронов очень жесткий. 62% испускаемых быстрых нейтронов имеют достаточную энергию, чтобы индуцировать деление ядер Th-232 и U-238, где-то 26% имеют энергию достаточную, чтобы индуцировать  (n, 2n) реакции (более 6 МэВ) и даже достаточно много нейтронов, которые могут индуцировать (n, 3n) реакции.

Т.е. при описании процессов взаимодействия нейтронов, испускаемых термоядерным устройством, с веществом учёт пороговых ядерных процессов обязателен. Их влияние будет достаточно существенным.
вряд ли эти таблицы имеют отношение к чистому дейтерию, там скорее всего дейтрид лития, а значит и спектр другой по сравнению с дейтерием. Если даже уже при горении D-Li будет 33-50% нейтронов с энергией меньше 100 кэВ, то в чистом дейтерии с его гораздо бОльшей оптической толщиной и подавно. Так что 1-2 кэВ вполне реалистичная цифра, это значит, что нейтроны уже практически полностью стали тепловыми по отношению к среде, в которой находятся и начинают выходить из дейтерия уже когда его температура около 10-20 млн. градусов (в конце реакции).

Оффлайн AlexAV

  • Модератор
  • *****
  • Сообщений: 10 473
  • Благодарностей: 578
    • Сообщения от AlexAV
Re: Ядерная энергетика будущего
« Ответ #2446 : 29 Янв 2021 [14:39:45] »
вряд ли эти таблицы имеют отношение к чистому дейтерию, там скорее всего дейтрид лития, а значит и спектр другой по сравнению с дейтерием.

Не радикально. В дейтериевом заряде выход тепловых нейтронов (с температурой плазмы, естественно) будет больше из-за их меньшего поглощения, но выход быстрых при той же оптической толщине по абсолютной величине будет соизмеримым. Выход и спектр быстрых нейтронов зависит больше от оптической толщины, а она очень сильно коррелирует с мощностью взрыва. Эти цифры, судя по всему, для стандартной военной боеголовки с энергией взрыва ~300 кт. Там на самом деле очень большие оптические толщины. Мощность зарядов в КВС будет заведомо на много меньше. А чем меньше мощность заряда - тем жестче будет спектр выходящих из устройства нейтронов. Понятно, что при той же мощности оптическая толщина дейтериевого заряда больше, чем LiD. Однако, учитывая разницу в мощности на порядок эти цифры можно брать как ориентировочные и для того, что будет получаться в КВС.

Оффлайн AlexAV

  • Модератор
  • *****
  • Сообщений: 10 473
  • Благодарностей: 578
    • Сообщения от AlexAV
Re: Ядерная энергетика будущего
« Ответ #2447 : 29 Янв 2021 [18:10:10] »
Вот здесь говорят что расчетный КВ выше единицы на всем времени работы реактора. При условии конечно выделения лантаноидов, и протактиния 233(решаем проблему урана 234)

Более обстоятельная статья именно по этому варианту конструкции. Где на часть вопросов, поставленных выше, есть ответы: https://www.researchgate.net/publication/327372349_Optimization_of_Th-U_fuel_breeding_based_on_a_single-fluid_double-zone_thorium_molten_salt_reactor

И так, что там написано.

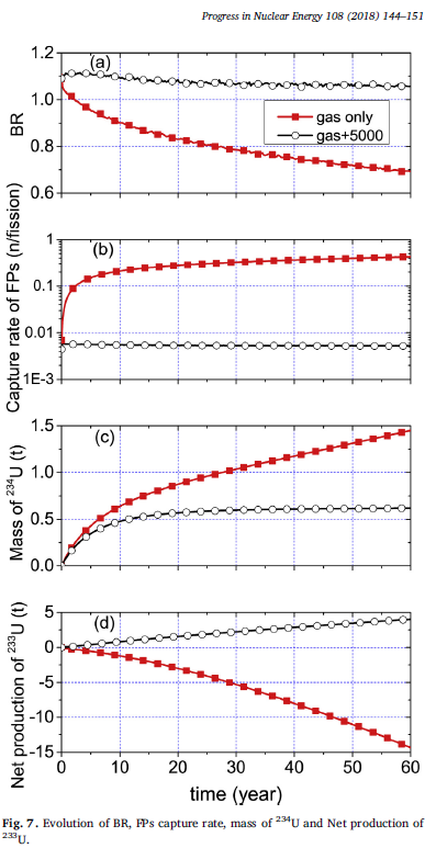
- При переходе к равновесному изотопному составу урана КВ реактора закономерно падает. При условии полного извлечения всех осколков и протактиния он для почти равновесного состояния снижается до 1.06. Честно говоря лучше, чем можно было бы предположить из средних сечений по спектру для жидкосолевого реактора с FLiBe без графитового замедлителя. Графит всё же, смещая спектр нейтронов из резонансной в тепловую область, очень сильно помогает.

- Удаление только летучих и нерастворимых осколков (что можно сделать сравнительно просто продувая через соль газ) категорически недостаточно. Без удаления нелетучих осколков КВ из-за их накопления очень быстро снижается, становясь меньше единицы.



Gas only - удаление только летучих осколков. gas + 5000 - удаление всех.

В общем закономерно. Главные нейтронные яды среди осколков всё же лантаноиды. А их убрать из расплава простыми методами не получается.

- Реактор очень чувствителен к накоплению нелетучих осколков и для поддержания КВ>1 требуется переработка просто огромного количества ОЯТ. В статье приводится следующий график для зависимости КВ от темпов отбора соли направляющейся на переработку (в нашей реальности это значит - отправляющейся на радиохимический завод в качестве ОЯТ).



КВ > 1 достигается только если темпы отбора будут более 200 л/сутки (при плотности 3.3 г/см3 это 660 кг в сутки). Т.к. расчёт выполнялся для реактора с тепловой мощностью 2250 МВт, то получается минимум 293 кг/ГВт в сутки. Если приводить к какому-то эквиваленту, то это в плане нагрузки на радиохимический завод это соответствует гетерогенному реактору с выгоранием 3.4 МВт сутки/кг. Прямо скажем, мягко говоря, не предел мечтаний. Хуже, чем даже не переделанный CANDU, где этот же результат можно получить с выгоранием около 7 МВт сутки/кг, т.е. производя ОЯТ в два раза меньше, чем жидкосолевой реактор.

- Вопрос с графитовой кладкой плавающей в соли остаётся. Известно, что FLiBe под облучением в присутствие актиноидов и осколков деления её очень быстро разрушает. И реактор с рассматриваемой в статье конструкцией из-за этого просто заведомо непригоден как энергетический. Любые меры для повышение срока службы графитовой кладки в соли (легирование графита карбидом кремния, покрытие на графите из карбида кремния, отделение солевого расплава от графита металлическими трубками каналов) - это довольно существенное дополнительное поглощение нейтронов, которое резко снизит КВ и, как минимум, приведет к тому, что допустимое выгорание топлива (которое, как видим, и так особого восторга не вызывает) станет совсем неприлично низким, а скорее сделает достижение КВ = 1 принципиально невозможным.

Если к этому приплюсовать большую сложность такого реактора, дороговизну, проблемы с безопасностью, высокие потребности в дефицитных материалах, то всё это выглядит в высшей степени сомнительно.
« Последнее редактирование: 29 Янв 2021 [18:29:28] от AlexAV »

Оффлайн Алексей В.

  • ****
  • Сообщений: 278
  • Благодарностей: 13
  • Мне нравится этот форум!
    • Сообщения от Алексей В.
Re: Ядерная энергетика будущего
« Ответ #2448 : 29 Янв 2021 [19:55:18] »
Выход и спектр быстрых нейтронов зависит больше от оптической толщины, а она очень сильно коррелирует с мощностью взрыва.
да, при одной и той же плотности, если заряд будет мощнее в 10 раз, то будет в 10 раз больше терм. горючего, шар из которого будет больше по размеру в 2,15 раза и во столько же раз больше и оптическая толщина, но если увеличить плотность малого заряда в 3,16 (корень из 10), то мы получим такую же оптическую толщину, как и у большого заряда, так что нет, оптическая толщина не сильно коррелирует с мощностью, больше с плотностью.

но выход быстрых при той же оптической толщине по абсолютной величине будет соизмеримым.
так в том то и дело, что способность плазмы замедлять нейтроны как раз и зависит от оптической толщины. В случае же чисто дейтериевого взрыва ему требуется гораздо бОльшее значение произведения времени удержания на плотность, чем D-Li. Время удержания зависит от размеров плазмы (как и оптическая толщина) или от мощности взрыва в степени 1/3. При увеличении же плотности увеличивается и оптическая толщина в степени 2/3. Т.е. получается, что для того, чтобы зажечь дейтерий ему придётся обеспечить гораздо бОльшую оптическую толщину, чем D-Li, т.е. замедление нейтронов будет неизбежно в данном случае.
« Последнее редактирование: 29 Янв 2021 [20:01:24] от Алексей В. »

Оффлайн AlexAV

  • Модератор
  • *****
  • Сообщений: 10 473
  • Благодарностей: 578
    • Сообщения от AlexAV
Re: Ядерная энергетика будущего
« Ответ #2449 : 29 Янв 2021 [23:17:32] »
оптическая толщина не сильно коррелирует с мощностью, больше с плотностью.

В том случае, если сжатие производится только за счёт энергии триггера плотность будет зависеть от соотношения мощности инициирующего ядерного устройства и массы термоядерного топлива. Проще говоря чем больше мы энергии вложим в меньшее количество вещества - тем больше будет плотность. В целом для грязных военных зарядов, где никто за снижение мощности первой ступени не борется, и она выдаёт несколько десятков килотонн, условия сжатия будут заведомо лучше, чем для сверхчистых зарядов, где стараются сделать маломощный триггер с мощностью всего несколько сотен тонн т.э.

Есть другой путь - различные режимы термоядерных детонаций в трубах. Там на каждом участке трубы новая порция топлива сжимается энергией уже сгоревшего. В этом случае плотность и оптическая плотность от энергии триггера зависеть не будет, но она будет полностью определяться геометрией трубы по которой бежит волна детонации. Но при разумных геометрических размерах получаемые в этом случае плотности и оптические плотности отнюдь не рекордные (ну 100 г/см3 может быть, редко больше). При обжатии мощным триггером они обычно получаются значительно больше.

Не будет в заряде КВС плотностей выше, чем в военных зарядах. Заряд КВС будет оптимизироваться под максимальную чистоту взрыва, а военный заряд на максимальную массовую отдачу энергии при взрыве. Во втором случае степени сжатия топлива будут заведомо больше.

 
Т.е. получается, что для того, чтобы зажечь дейтерий ему придётся обеспечить гораздо бОльшую оптическую толщину, чем D-Li, т.е. замедление нейтронов будет неизбежно в данном случае.

Вы сильно переоцениваете значения оптической толщины нужной для эффективного горения дейтерия. Да, там минимальные значения выше, чем для D-D и Li-D топлива, но они не такие огромные как Вы думаете.

Вот реальный расчёт распространения детонации в трубе с дейтерием. Там рассматривается не детонация в бомбе, но в общем задача физически близкая. Обратите внимание, что там оптическая плотность всего 4 г/см2 и получается вполне приличный коэффициент усиления. В заряде КВС оптическая плотность также будет 4-10  г/см2, может чуть больше. Но на много больше этих значений не будет, так как просто не надо. Это заметная оптическая плотность, нейтроны она будет замедлять существенно, но чтобы получить идеальный тепловой спектр этого категорически недостаточно. Спектр нейтронов после прохождения такого слоя вещества всё равно будет оставаться достаточно жестким.   
« Последнее редактирование: 29 Янв 2021 [23:32:41] от AlexAV »

Оффлайн Алексей В.

  • ****
  • Сообщений: 278
  • Благодарностей: 13
  • Мне нравится этот форум!
    • Сообщения от Алексей В.
Re: Ядерная энергетика будущего
« Ответ #2450 : 30 Янв 2021 [20:56:52] »
Не будет в заряде КВС плотностей выше, чем в военных зарядах. Заряд КВС будет оптимизироваться под максимальную чистоту взрыва, а военный заряд на максимальную массовую отдачу энергии при взрыве. Во втором случае степени сжатия топлива будут заведомо больше.
для использования в КВС нет смысла достигать запредельной чистоты заряда, вполне достаточно, если доля термоядерной мощности будет 90-99%, при том, что рекордная величина 99,85%. Когда делали заряд для вскрытия грунта с мощностью триггера в 400 тонн, то этой энергии было настолько мало, что пришлось делать промежуточную термоядерную ступень. В КВС же мощность триггера = 1 килотонне и по заявлениям авторов запас энергии позволяет снизить требования к точности изготовления узлов бомбы, что важно при массовом производстве зарядов.

В заряде КВС оптическая плотность также будет 4-10  г/см2, может чуть больше. Но на много больше этих значений не будет, так как просто не надо. Это заметная оптическая плотность, нейтроны она будет замедлять существенно, но чтобы получить идеальный тепловой спектр этого категорически недостаточно. Спектр нейтронов после прохождения такого слоя вещества всё равно будет оставаться достаточно жестким.
шар жидкого дейтерия массой в 1 кг с плотностью 0,16 г/см3 уже имеет оптическую толщину 1,83 г/см2 при сжатии же оптич. толщина будет увеличиваться в степени 2/3 от увеличения плотности, так что значения 4-10 г/см2 будут достигнуты уже при плотности 0,51-2,04 г/см3.
Я не понимаю, чего вы ломитесь в открытую дверь? Ведь в книге https://obuchalka.org/2013092173579/vzrivnaya-deiterievaya-energetika-ivanov-g-a-voloshin-n-p-taneev-a-s-2004.html
на стр. 58 написано:
<<<В результате полного сгорания образуется смесь, состоящая из шести тяжелых частиц и шести электронов. На каждую частицу приходилось бы более 3 МэВ энергии, если бы реализовалось 100%-е сгорание дейтерия, не было теплообмена и обмена частицами с окружением дейтерия. Фактически температура горящего дейтерия ниже 1 МэВ. Вместе с тем для зажигания дейтерия требуются большие температура и оптическая толщина ( rr ), чем в случае дейтерий-тритиевой смеси. Оптическая толщина дейтерия должна быть, по крайней мере, такой, чтобы энергия термоядерных реакций, уносимая в основном нейтронами, оставалась внутри области, занятой горящим дейтерием. Это означает, что основная доля
нейтронов должна замедлиться и приобрести температуру, характерную для области локализации дейтерия. После основной фазы горения дейтерий начинает разлетаться и оптическая толщина его уменьшается. Нейтроны начнут выходить из дейтерия и продуктов его горения, когда оптическая толщина станет меньше, чем пробег тепловых нейтронов. Температура нейтронов при разлете дейтерия также снизится. Основная доля нейтронов покинет зону горения, имея энергию 1-2 кэВ.>>>
затем на стр. 60
<<<Но сколько нужно заложить тория, чтобы получить 100 г урана? Вероятность преобразования 232 233 90 90 Th Th  (w2 3  ) задается сечением радиационного захвата sn,g  1barn для энергии нейтронов 1-2 кэВ, выходящих из дейтерия.>>>
Или вы не верите авторам книги?

Кстати, интересно, что горения дейтерия вполне возможно даже при кол-ве дейтерия в районе 1 грамма + ещё и неоптимальной цилиндрической форме мишени. По сравнению с этим горение в бомбе вообще easy.

Оффлайн AlexAV

  • Модератор
  • *****
  • Сообщений: 10 473
  • Благодарностей: 578
    • Сообщения от AlexAV
Re: Ядерная энергетика будущего
« Ответ #2451 : 30 Янв 2021 [22:22:19] »
В КВС же мощность триггера = 1 килотонне и по заявлениям авторов запас энергии позволяет снизить требования к точности изготовления узлов бомбы, что важно при массовом производстве зарядов.

В военных заряд в любом случае обычно триггеры значительно мощнее, обычно на уровне 10-20 кт на первой ступени.

неоптимальной цилиндрической форме мишени.

В заряде КВС скорее всего какие-то режимы детонации в трубах как раз и будут использоваться. Это лучший достижения максимальной степени чистоты заряда, а тут это будет существенно. 

По сравнению с этим горение в бомбе вообще easy.

Никто с этим не спорит.

Я не понимаю, чего вы ломитесь в открытую дверь?

По той причине, что представляя масштаб оптических плотностей там и типичный спектр испускаемый термоядерным устройством, я, скажем, этим уверениям просто не верю. Нет там оптических плотностей нужных для идеальной термализации нейтронов.

Без результатов Монте-Карло модели (с описанием как они получены) у меня сказанное в процитированном куске не вызывает никакого доверия. Нейтронный спектр термоядерных устройств обычно достаточно жесткий.

Оффлайн MenFrame

  • *****
  • Сообщений: 8 900
  • Благодарностей: 215
  • Мне нравится этот форум!
    • Сообщения от MenFrame
Re: Ядерная энергетика будущего
« Ответ #2452 : 30 Янв 2021 [22:41:33] »
Резонансный.
Тогда возникает вопрос, как там уничтожают МА
Наука есть организованный скептицизм в достоверности экспертного мнения.  Ричард Фейнман
Свобода, есть форма ответственности за необходимую глупость. (не помню кто сказал)

Оффлайн AlexAV

  • Модератор
  • *****
  • Сообщений: 10 473
  • Благодарностей: 578
    • Сообщения от AlexAV
Re: Ядерная энергетика будущего
« Ответ #2453 : 30 Янв 2021 [23:06:04] »
Тогда возникает вопрос, как там уничтожают МА

Да нет тут никаких вопросов. Большая часть движется по цепочке пока не превратится в делящийся изотоп (с небольшой вероятностью порогового деления на каждой стадии, в спектре какая-то часть и быстрых нейтронов есть, хотя и не большая).

Скажем

Am-241 + n - Am-242 - Cm-242 + n - Cm-243 + n - деление (одна ветвь)
                                   - Pu-238 + n - Pu-239 + n  - деление (другая ветвь)

Ну, а кюрий вообще прекрасный делящийся (или фертильный) материал в любом спектре. Cm-243 и Cm-245 прекрасно делятся и тепловыми, и резонансными и быстрыми нейтронами, причём с вероятностью деления под 90% и испусканием около 3-х нейтронов, а Cm-242 и Cm-244 превращаются в хорошо делящиеся за один захват.

В общем как-то так.

Главная мотивация там в пользу жидкосолевой системы - большая технологическая сложность изготовления керамического топлива, содержащего такие активные материалы как америций и, особенно, кюрий. Добавлять их в солевой расплав на много проще.   
« Последнее редактирование: 30 Янв 2021 [23:13:07] от AlexAV »

Оффлайн MenFrame

  • *****
  • Сообщений: 8 900
  • Благодарностей: 215
  • Мне нравится этот форум!
    • Сообщения от MenFrame
Re: Ядерная энергетика будущего
« Ответ #2454 : 30 Янв 2021 [23:22:40] »
В общем как-то так.
Читал что 30% МА трансмутируют до плутония 238
Главная мотивация там в пользу жидкосолевой системы - большая технологическая сложность изготовления керамического топлива,
Это хорошо, по крайней мере есть возможность отработать ветку ЖСР...Вдруг природа нам подарит хорошие сюрпризы
Наука есть организованный скептицизм в достоверности экспертного мнения.  Ричард Фейнман
Свобода, есть форма ответственности за необходимую глупость. (не помню кто сказал)

Оффлайн AlexAV

  • Модератор
  • *****
  • Сообщений: 10 473
  • Благодарностей: 578
    • Сообщения от AlexAV
Re: Ядерная энергетика будущего
« Ответ #2455 : 30 Янв 2021 [23:28:43] »
Читал что 30% МА трансмутируют до плутония 238

Через него трансмутируют Np-237 и (частично) Am-241 (последний в основном превращается в относительно короткоживущий Cm-242 с периодом полураспада 162,8 сут, который распадается в Pu-238, та часть, которая успеет распасться, зависит от плотности потока нейтронов в реакторе). Np-237 и Am-241 - это подавляющая часть образующихся в реакторе малых актиноидов, всех остальных там возникает значительно меньше.

Оффлайн Алексей В.

  • ****
  • Сообщений: 278
  • Благодарностей: 13
  • Мне нравится этот форум!
    • Сообщения от Алексей В.
Re: Ядерная энергетика будущего
« Ответ #2456 : 31 Янв 2021 [14:20:56] »
В военных заряд в любом случае обычно триггеры значительно мощнее, обычно на уровне 10-20 кт на первой ступени.
так там и термоядерная ступень будет не 25 кт, а 300-500 и более, так что получаются примерно то же соотношение энергий первой и второй ступени.

В заряде КВС скорее всего какие-то режимы детонации в трубах как раз и будут использоваться. Это лучший достижения максимальной степени чистоты заряда, а тут это будет существенно. 
нет, по заявлениям авторов шарообразная форма - наилучшая и для деления и для синтеза, так что они сказали, что по тексту книги именно она и будет рассматриваться. К тому же именно как раз шарообразная форма и позволяет получить наибольшую оптическую толщину и наибольшее время удержания при одинаковой массе и достигнутой плотности топлива по сравнению с цилиндрической.
Скорее всего спектр нейтронов такой жёсткий при взрыве боевого заряда именно из-за цилиндрической формы 2-й ступени, потому что при использовании D-Li нет смысла добиваться предельного времени удерж.*плотность и можно вполне позволить себе такую неоптимальность. При взрыве же дейтерия уже нужно использовать все доступные возможности по полной.

По той причине, что представляя масштаб оптических плотностей там и типичный спектр испускаемый термоядерным устройством, я, скажем, этим уверениям просто не верю. Нет там оптических плотностей нужных для идеальной термализации нейтронов.
да ну? Размеры шара дейтерия 1 кг ~ 23 см. А ведь размеры активной зоны тяжеловодных реакторов всего раз в 15-20 больше и ,насколько я понимаю, там вполне себе всё неплохо замедляется. Т.е. грубо говоря(т.к. там ещё кроме дейтерия есть ещё яд. топливо и кислород), такой же оптической толщины можно добиться, если сжать 1 кг дейтерия в 58-89 раз. К тому же замедление до 1-2 кэВ произойдёт однозначно быстрее, чем до 0,05 эВ.

Оффлайн pklАвтор темы

  • *****
  • Сообщений: 5 302
  • Благодарностей: 59
    • Сообщения от pkl
Re: Ядерная энергетика будущего
« Ответ #2457 : 21 Фев 2021 [22:41:37] »
Давайте отвлечёмся от КВС. Вот статья о работах по быстрым газоохлаждаемым реакторам в Европе:
http://www.atominfo.ru/newsz03/a0139.htm


По-моему, очень перспективное направление.
Celestron PowerSeeker 114 EQ, но хочется большего

Сверхцивилизация - это цивилизация, овладевшая всеми практически значимыми технологиями, которые вообще допустимы законами природы.

Оффлайн crazy_terraformer

  • *****
  • Сообщений: 11 195
  • Благодарностей: 336
  • AdAstraPerAspera! Вот там мы и будем!Или не будем!
    • Сообщения от crazy_terraformer
Re: Ядерная энергетика будущего
« Ответ #2458 : 22 Фев 2021 [00:35:25] »
Интересно, что скрывается за формулой оболочек жаростойкого топлива SiCf/SiCf?
Cf — явно не калифорний.
Ннапыльн%х тpапинкахъ далиокихъ плонеттъ пайдиомь мы чьюжымь вна абедъ!

Следи за собой! Будь осторожен!(с)

Оффлайн -Asket-

  • *****
  • Сообщений: 3 929
  • Благодарностей: 406
  • Шапочка из фольги - последний бастион разума
    • Сообщения от -Asket-
Re: Ядерная энергетика будущего
« Ответ #2459 : 22 Фев 2021 [11:44:36] »
Это волокна карбида кремния, керамический композит. SiCf - silicon carbide fibers.
Не теряйте мужества - худшее впереди!
Пессимист считает, что хуже, чем есть, быть не может, а оптимист утверждает, что бывает и хуже.
Один ученый сделал великое открытие, но объяснить не смог. И никто не смог. – Вот неуч!.. – хихикали завистники.